Notes
Slide Show
Outline
1
Chapter 16: H¥  Loop Shaping
  • Robust stabilization of Coprime factors
  • Robust Stabilization of Normalized Coprime Factors
  • H¥ Loop Shaping Design
  • Weighted H¥ Control Interpretation
  • Optimal Stability Margin
  • Further Guidelines for Loop Shaping


2
Robust Stabilization of Coprime Factors
3
 
4
 
5
 
6
Robust Stabilization of Normalized Coprime Factors
7
 
8
 
9
H¥  Loop Shaping Design
  • Given nominal model P(s).
  • (1) Loop Shaping: Obtain a desired open-loop shape (singular values) by using a precompensator W1 and/or a postcompensator W2,
  • Ps=W2PW1
  • Assume that W1 and W2 are such that Ps contains no hidden modes.
  • (2) (a) Calculate robust stability margin bopt(Ps). If bopt(Ps) <<1, return to (1) and adjust W1 and W2 . (b) Select  e £ bopt(Ps) , then synthesize a stabilizing controller K¥ which satisfies



  • (3) The final controller K=W1K¥W2
10
"A typical design works as..."
  • A typical design works as follows: the designer inspects the open-loop singular values of the nominal plant, and shapes these by pre- and/or postcompensation until nominal performance (and possibly robust stability) specifications are met. (Recall that the open-loop shape is related to closed-loop objectives.) A feedback controller K¥ with associated stability margin (for the shaped plant) e £ bopt(Ps) is then synthesized. If bopt(Ps) is small, then the specified loop shape is incompatible with robust stability requirements, and should be adjusted accordingly, then K¥ is reevaluated.
  • Note that the final controller is K=W1K¥W2 , so it is necessary to check if the loop properties are significantly changed. It is helpful to choose W1 and W2 with small condition numbers.
  • Only W1 or W2 is needed if P is SISO.
11
Weighted H¥  Control Interpretation
12
Optimal Stability Margin
13
 
14
">> bp,k = emargin (..."

  • >> bp,k = emargin (P,K); % given P and K, compute bP,K
  • >> [Kopt, bp,k ]=ncfsyn(P,1); % find the optimal controller Kopt.
  • >> [Ksub, bp,k ] = ncfsyn(P,2); % find a suboptimal controller Ksub.
15
Further Guidelines for Loop Shaping
  • Let P = NM-1 be normalized right coprime factorization. Then


  •   small l(P)  Þ   small bopt(P)
  • Let the open right-half plane zeros and poles of P be:
  •          z1, z2,…, zm,    p1, p2,…, pk
  • Define


  • Then        P(s)=P0(s)Nz(s)/Np(s)
  • where P0(s) has no open right-half plane zeros and poles.
16
"Let N0(s)"
  • Let N0(s) and M0(s) be stable and minimum phase spectral factors:



  • Then P0= N0 / M0  is a normalized coprime factorization and (N0 Nz) and (M0 Np) form a pair of normalized coprime factorizations of P.
  • Thus





  • where r>0, -p/2<q< p/2, and
17
"Kq(w/r) large..."
  • Kq(w/r) large near w=r: |N0(rejq)| will be small if |P(jw)|  is small near w=r and |M0(rejq)| will be small if |P(jw)| is large near w=r.
  •    Large q: Kq(w/r) very large near w=r and small otherwise. Hence |N0(rejq)| and |M0(rejq)| will essentially be determined by |P(jw)| in a very narrow frequency range near w=r when q  is large.




  • On the other hand, when q is small, a larger range of frequency response |P(jw)| around w=r will have affect on the value |N0(rejq)| and |M0(rejq)|(This, in fact, will imply that a right-plane zero (pole) with a much larger real part than the imaginary part will have much worse effect on the performance than a right-plane zero (pole) with a much larger imaginary part than the real part).
18
When can bopt(P) be small
  • Recall               (bopt(P)) 2 £|N0(s)Nz(s)|2 +|M0(s)Np(s)|2   " Re(s)>0
  • Let s=rejq and note that Nz(zi)=0 and Np(pj)=0. Then the bound can be small if
  • |Nz(s)| and |Np(s)| are both small for some s. That is, |Nz(s)|»0 (i.e., s is close to a right-half plane zero of P) and |Np(s)|»0 (i.e., s is close to a right-half plane pole of P).
  • This is possible if P(s) has a right-half plane zero near a right-half plane pole. (See Example 16.1.)
  • |Nz(s)| and |M0(s)| are both small for some s. That is, |Nz(s)|»0  (i.e., s is close to a right-half plane zero of P) and |M0(s)|»0 (i.e., |P(jw)| is large around w=|s|=r ).
  • This is possible if |P(jw)| is large around w=r where r is the modulus of a right-half plane zero of P (See Example16.2)
19
"|Np(s)| and |..."
  • |Np(s)| and |N0(s)| are both small for some s. That is, |Np(s)|»0 (i.e., s is close to a right-half plane pole of P) and |N0(s)|»0 (i.e., |P(jw)| is small around w=|s|=r).
  • This is possible if |P(jw)| is small around w=r where r is the modulus of a right-half plane pole of P (See Example 16.3)
  • |N0(s)| and |M0(s)| are both small for some s. That is, |N0(s)|»0 (i.e., |P(jw)| is small around w=|s|=r) and |M0(s)|»0 (i.e., |P(jw)| is large around w=|s|=r).
  • The only way in which |P(jw)| can be both small and large at frequencies near w=r is that |P(jw)| is approximately equal to 1 and the absolute value of the slope of |P(jw)| is large. (See Example 16.4)


20
RHP Poles/Zeros are close
  • Example 16.1


  • bopt(P1)  will be very small for all K whenever r is close to 1 (i.e., whenever there is an unstable pole close to an unstable zero).


21
 
22
Nonminimum Phase
  • Example 16.2


  • bopt(P2) will be small if  |P2(jw)|  is large around w =1, the modulus of the right-half plane zero.
  • Note that bopt(L/s) = 0.707 for any L and bopt(P2)®  0.707 as  K ®  0. This is because |P2(jw)| around the frequency of the right-half plane zero is very small as K ®  0.


23
Complex Nonminimum Phase Zeros
  • Example 16.2b


24
"bopt(P3)"
  • bopt(P3) will be small if |P3(jw)| is large around the frequency of w=1 (the modulus of the right-half plane zero).
  •  For zeros with the same modulus, bopt(P3) will be smaller for a plant with relatively larger real part zeros than for a plant with relatively larger imaginary part zeros (i.e., a pair of real right-half plane zeros has a much worse effect on the performance than a pair of almost pure imaginary axis right-half plane zeros of the same modulus).
25
Unstable Poles
  • Example 16.3


  • bopt(P4) will be small if |P4(jw)| is small around the frequency of w=1 (the modulus of the right-half plane pole).




  • Note that bopt(P4)®  0.707 as  K ®  ¥. This is because |P4(jw)| is very large around the the frequency of the modulus of the right-half plane pole as K ®  ¥.
26
 
27
"bopt(P5)"
  • bopt(P5) will be small if |P5(jw)| is small around the frequency of the modulus of the right-half plane pole.
  • For poles with the same modulus, bopt(P5) will be smaller for a plant with relatively larger real part poles than for a plant with relatively larger imaginary part poles(i.e., a pair of real right-half plane poles has a much worse effect on the performance than a pair of almost pure imaginary axis right-half plane poles of the same modulus).
28
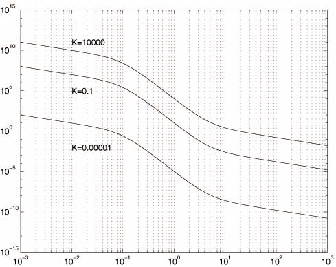
Large Slope near Crossover
  • Example 16.4


  • K = 10-5  : slope near crossover is not too large Þ   bopt(P6) not too small.
  •  K = 104  : Similar.
  •  K = 0.1: slope near crossover is quite large Þ   bopt(P6)  quite small.
29
Guidelines
  • Based on the preceding discussion, we can give some guidelines for the loop-shaping design.
  • The loop transfer function should be shaped in such a way that it has low gain around the frequency of the modulus of any right-half plane zero z. Typically, it requires that the crossover frequency be much smaller than the modulus of the right-half plane zero; say, wc<|z|/2 for any real zero and wc <|z| for any complex zero with a much larger imaginary part than the real part (see Figure 16.6).
  • The loop transfer function should have a large gain around the frequency of the modulus of any right-half plane pole.
  • The loop transfer function should not have  a large slope near the crossover frequencies.
  • These guidelines are consistent with the rules used in classical control theory (see Bode[1945] and Horowitz[1963]).